Immediate help needed

Dear Gams World Members,

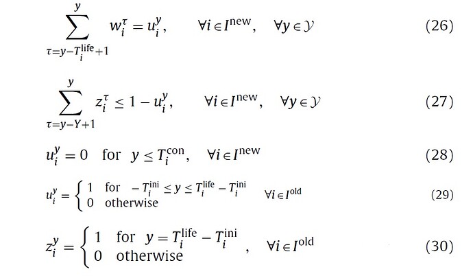
I need your invaluable helps. I need to code a model but i did not handle to code 26th, 27th equations because of sets. How can i code it?

Thanks in advance,
Nazmi


To unsubscribe from this group and stop receiving emails from it, send an email to gamsworld+unsubscribe@googlegroups.com.
To post to this group, send email to gamsworld@googlegroups.com.
Visit this group at http://groups.google.com/group/gamsworld.
For more options, visit https://groups.google.com/groups/opt_out.

\

Hi Nazmi
What an exact address!!
26th and 27th equations in a blank page!!


On Tue, Jun 25, 2013 at 6:56 PM, Nazmi Åžener wrote:

Dear Gams World Members,

I need your invaluable helps. I need to code a model but i did not handle to code 26th, 27th equations because of sets. How can i code it?

Thanks in advance,
Nazmi


To unsubscribe from this group and stop receiving emails from it, send an email to gamsworld+unsubscribe@googlegroups.com.
To post to this group, send email to gamsworld@googlegroups.com.
Visit this group at http://groups.google.com/group/gamsworld.
For more options, visit https://groups.google.com/groups/opt_out.



\

To unsubscribe from this group and stop receiving emails from it, send an email to gamsworld+unsubscribe@googlegroups.com.
To post to this group, send email to gamsworld@googlegroups.com.
Visit this group at http://groups.google.com/group/gamsworld.
For more options, visit https://groups.google.com/groups/opt_out.

\

Sorry for the mistake

From: 7arbahari@gmail.com
Date: Tue, 25 Jun 2013 19:18:35 +0430
Subject: Re: Immediate help needed
To: gamsworld@googlegroups.com

Hi Nazmi
What an exact address!!
26th and 27th equations in a blank page!!


On Tue, Jun 25, 2013 at 6:56 PM, Nazmi Åžener wrote:

Dear Gams World Members,

I need your invaluable helps. I need to code a model but i did not handle to code 26th, 27th equations because of sets. How can i code it?

Thanks in advance,
Nazmi

\

hi:
assuming they are integer sets, a solution could be something along (tune to your details and model structure)

26(y,inew).. sum(tau$(ord(tau) ge ord(y)-Tlife(inew)+1 and ord(tau) le ord(y)),w(tau,inew))=e=u(inew,y);
27(y,inew).. sum(tau$(ord(tau) ge ord(y)-capsY+1 and ord(tau) le ord(y)),z(tau,inew))=l=1- u(inew,y);

regards!


On Tue, Jun 25, 2013 at 12:11 PM, Nazmi Åžener wrote:

Sorry for the mistake

From: 7arbahari@gmail.com
Date: Tue, 25 Jun 2013 19:18:35 +0430
Subject: Re: Immediate help needed
To: gamsworld@googlegroups.com


Hi Nazmi
What an exact address!!
26th and 27th equations in a blank page!!


On Tue, Jun 25, 2013 at 6:56 PM, Nazmi Åžener wrote:

Dear Gams World Members,

I need your invaluable helps. I need to code a model but i did not handle to code 26th, 27th equations because of sets. How can i code it?

Thanks in advance,
Nazmi

\

To unsubscribe from this group and stop receiving emails from it, send an email to gamsworld+unsubscribe@googlegroups.com.
To post to this group, send email to gamsworld@googlegroups.com.
Visit this group at http://groups.google.com/group/gamsworld.
For more options, visit https://groups.google.com/groups/opt_out.




\

To unsubscribe from this group and stop receiving emails from it, send an email to gamsworld+unsubscribe@googlegroups.com.
To post to this group, send email to gamsworld@googlegroups.com.
Visit this group at http://groups.google.com/group/gamsworld.
For more options, visit https://groups.google.com/groups/opt_out.


\

To unsubscribe from this group and stop receiving emails from it, send an email to gamsworld+unsubscribe@googlegroups.com.
To post to this group, send email to gamsworld@googlegroups.com.
Visit this group at http://groups.google.com/group/gamsworld.
For more options, visit https://groups.google.com/groups/opt_out.



\

To unsubscribe from this group and stop receiving emails from it, send an email to gamsworld+unsubscribe@googlegroups.com.
To post to this group, send email to gamsworld@googlegroups.com.
Visit this group at http://groups.google.com/group/gamsworld.
For more options, visit https://groups.google.com/groups/opt_out.

\

Hi
That’s the correct answer!
Best regards.


On Tue, Jun 25, 2013 at 8:04 PM, Claudio Delpino wrote:

hi:
assuming they are integer sets, a solution could be something along (tune to your details and model structure)

26(y,inew).. sum(tau$(ord(tau) ge ord(y)-Tlife(inew)+1 and ord(tau) le ord(y)),w(tau,inew))=e=u(inew,y);
27(y,inew).. sum(tau$(ord(tau) ge ord(y)-capsY+1 and ord(tau) le ord(y)),z(tau,inew))=l=1- u(inew,y);

regards!


On Tue, Jun 25, 2013 at 12:11 PM, Nazmi Åžener wrote:

Sorry for the mistake

From: 7arbahari@gmail.com
Date: Tue, 25 Jun 2013 19:18:35 +0430
Subject: Re: Immediate help needed
To: gamsworld@googlegroups.com


Hi Nazmi
What an exact address!!
26th and 27th equations in a blank page!!


On Tue, Jun 25, 2013 at 6:56 PM, Nazmi Åžener wrote:

Dear Gams World Members,

I need your invaluable helps. I need to code a model but i did not handle to code 26th, 27th equations because of sets. How can i code it?

Thanks in advance,
Nazmi

\

To unsubscribe from this group and stop receiving emails from it, send an email to gamsworld+unsubscribe@googlegroups.com.
To post to this group, send email to gamsworld@googlegroups.com.
Visit this group at http://groups.google.com/group/gamsworld.
For more options, visit https://groups.google.com/groups/opt_out.




\

To unsubscribe from this group and stop receiving emails from it, send an email to gamsworld+unsubscribe@googlegroups.com.
To post to this group, send email to gamsworld@googlegroups.com.
Visit this group at http://groups.google.com/group/gamsworld.
For more options, visit https://groups.google.com/groups/opt_out.


\

To unsubscribe from this group and stop receiving emails from it, send an email to gamsworld+unsubscribe@googlegroups.com.
To post to this group, send email to gamsworld@googlegroups.com.
Visit this group at http://groups.google.com/group/gamsworld.
For more options, visit https://groups.google.com/groups/opt_out.



\

To unsubscribe from this group and stop receiving emails from it, send an email to gamsworld+unsubscribe@googlegroups.com.
To post to this group, send email to gamsworld@googlegroups.com.
Visit this group at http://groups.google.com/group/gamsworld.
For more options, visit https://groups.google.com/groups/opt_out.



\

To unsubscribe from this group and stop receiving emails from it, send an email to gamsworld+unsubscribe@googlegroups.com.
To post to this group, send email to gamsworld@googlegroups.com.
Visit this group at http://groups.google.com/group/gamsworld.
For more options, visit https://groups.google.com/groups/opt_out.

\